Real Info Blog
!->
≡
Home
Study
TET
Notes
Edu
Date
Monday, 22 May 2023
Letters
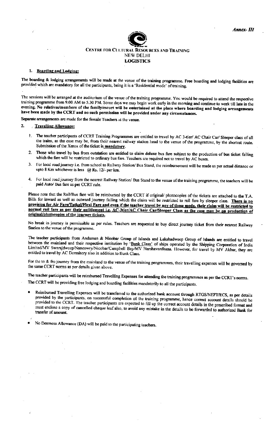
Request for Teachers deputation in Offline training programme
Real-Info
May 22, 2023
0
comments
Request for Teachers deputation in Offline training programme
Share This:
Facebook
whatsapp
Newer Post
Older Post
Home
Recent-post
Menu
Study
Class Plus Two
Arts
Commerce
Science
Video Lessons
E-Books
Class Plus One
Arts
Commerce
Science
Video Lessons
E-Books
Class X
English
Hindi
Punjabi
Science
Science-E
Mathematics
Mathematics-E
Social Studies
Social Studies-E
Physical Education
Physical Education-E
Computer
Computer-E
Video Lessons
E-Books
Class IX
English
Hindi
Punjabi
Science
Science-E
Mathematics
Mathematics-E
Social Studies
Social Studies-E
Physical Education
Physical Education-E
Computer
Computer-E
Video Lessons
E-Books
Class VIII
English
Hindi
Punjabi
Science
Science-E
Mathematics
Mathematics-E
Social Studies
Social Studies-E
Physical Education
Physical Education-E
Computer
Computer-E
Video Lessons
E-Books
Class VII
English
Hindi
Punjabi
Science
Science-E
Mathematics
Mathematics-E
Social Studies
Social Studies-E
Physical Education
Physical Education-E
Computer
Computer-E
Video Lessons
E-Books
Class VI
English
Hindi
Punjabi
Science
Science-E
Mathematics
Mathematics-E
Social Studies
Social Studies-E
Physical Education
Physical Education-E
Computer
Computer-E
Video Lessons
E-Books
Pre-Primary
Poem Pre-Primary
Story Pre-Primary
Recent-Post
Pages
Census 2027
EVM
Ballot
Popular Posts
PSTET CDP Paper 1
Preparation of houselisting Block (HLB) lay out map
Self Declaration Form
Regarding advertisement dated 20-11-2015 master cadre 6060 recruitment
Introduction to census
NEWS 21 MAR 2026
Approaching households for census